电话沟通
填问卷赢积分
    微信联系
    扫描二维码,联系合规客服
    登录 | 注册
    合规化学

    聊一聊GHS制度中急性毒性分类的特殊要点

    2020-01-07 13:33:40
    来源:合规化学网  点击数:13620


    急性毒性是联合国GHS制度确定的化学品29大类危害之一,其主要是指化学品在短时间内接触人体后产生的严重危害(包括死亡)。在急性毒性的分类中,除了根据化学品整体的口服、经口或吸入毒性进行分类外,在很多情况下,需要根据混合物中各个组分的毒性数据或危险类别,通过计算来推测混合物整体毒性。

    本期合规解读,小编就和大家聊聊急性毒性分类计算过程中那些需要格外注意的小细节,包括欧盟CLP法规指南中与联合国GHS制度的不同之处。

     

    一、加和性计算应该选择哪些组分?

    加和性公式计算是将混合物中已知含量和毒性数据的组分,进行加权计算,获得混合物整体ATE值,再确定混合物分类的一种计算方式。是联合国GHS制度所鼓励的一种替代动物试验很重要的分类方式之一。

    在进行加和性公示计算时,首先需要明确混合物中哪些组分可以用于计算。联合国GHS制度规定,通常情况下只考虑浓度≥1%的组分。

    友情提醒:根据欧盟CLP法规指南的规定,在对急性毒性类别1~类别3分类时,需要考虑浓度≥0.1%的组分。这种细微的差异,在特定情况下,会导致混合物整体的计算分类结果截然不同,具体见表1

    1 欧盟CLP法规分类的举例


      


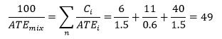
    按照加和性公式,由于其未知浓度>10%,因此选择如下的加和性公式:

    将表1中各组分代入公式计算如下:

    1,按照联合国GHS制度分类

    根据这个计算结果,混合物应分为急性口服毒性,类别4

    2,按照欧盟CLP法规分类

    由于组分5属于急性毒性类别2,浓度>0.1%,所以也需带入计算,结果如下:

    ATEmix180,据此混合物应分为急性口服毒性,类别3

    由此可见,组分浓度的临界值不同,对分类结果有可能大相径庭。

    友情提醒:如果编制符合CLP法规的SDS,一定要注意组分的选择哦。

    二、物质状态对吸入毒性分类的影响

    在对混合物的吸入毒性进行公式计算时,根据法规要求,各组分的ATE值需转化为同一暴露途径下的数据。由于GHS制度中对不同吸入状态(蒸气、气雾或者气体),其分类标准是不一样的,那么对应的分类结论很有可能也是不同的,小编以表2的列子做一个解释。

    2 物质状态对吸入毒性分类的影响


     

    假设有一个混合物A,其有5个组分组成,每个组分的信息如表2所示。

    暴露途径1:混合物A的暴露途径为蒸气(vapour

    在进行加和性公示计算时,只需要考虑组分4,由于组分4有具体的LC50,可直接将其LC50代入计算,具体如下:

    混合物AATEmix=27.5,对照吸入毒性(蒸气)分类标准,在无其他资料的情况下,可以明确混合物A急性吸入毒性不分类;

    暴露途径2:混合物A的暴露途径为气雾(mist

    此时,在加和性公式计算时,除了需要考虑组分3,还应考虑组分1和组分4,而且对于组分4,其ATE值就不能用其自身的LC50,因为接触途径不同,需要根据组分的危险类别(4类),对照GHS制度中的表格,换算成对应的急性点估计值(cATpE),具体计算结果如下:

    混合物AATEmix=2.04,对照吸入毒性(气雾)的分类标准,混合物A应划分为急性吸入毒性,类别4

    三、无法判定吸入途径时,如何分类?

    如上所述,在急性吸入毒性分类时,化学品暴露方式的不同,所对应的分类标准也不同。但是,在实际分类时,如果确实无法判断暴露方式时,在欧盟CLP法规中,提供了一种简单快速的计算方式,对混合物整体毒性做一个快速筛选:

    毒性分数=极限值ATEi×Ci100

    如果计算所得的毒性分数≥1,则需要分为该类,否则不需分类。

    公式中的极限值表示每种类别的上限值。比如对于蒸气2类,上限为2.0;对于气雾2类,上限为0.5。小编以表3为例,加以解释。

    3


      


    由于混合物中不含有急性毒性类别1的组分,因此混合物整体可以不考虑分为类别1。那么是否为类别2呢?

    将类别2的上限带入上述公式计算如下:

    毒性分数=(尼古丁的毒性分数)+(丁二酮的毒性分数)=

    0.169<1,不分为类别2

    对于类别3和类别4,用同样的方法:

    类别3:毒性分数=0.539<1,不分为类别3

    类别4:毒性分数==1.693>1,可以分为类别4

     

    四、小结

    本期合规解读小编围绕急性毒性的公示计算,结合3个例子给大家分享在公式计算时,组分浓度如何准确选择、吸入毒性暴露途径不同如何计算,以及无法判定混合物整体吸入途径时,如何快速筛选三个注意事项。

    小编在此也顺便提醒大家在做急性毒性分类时,务必要根据输入国的法规进行准确分类,比如本次合规解读中提及的欧盟CLP法规所规定的一些特殊要求。



    本网站维权及免责声明:


    凡本网站所有原始/编译文章及图片、图表的版权均属合规思远所有,如要转载,需注明“信息来源:合规化学网”。违反上述规定者,本网站将保留追究其侵权责任的权利。

    凡本网站注明“信息来源:XXX(非合规化学网)”的作品,均转载自其他媒体,转载目的在于传递更多的信息,并不代表本网赞同其观点和对其真实性负责。





    上一篇:台湾地区GHS制度系列解读(一)

    下一篇:寒冬虽至,小量危货运输的“春天”却已来临

    0519-85150306

    周一至周日 9:00-18:00

    合规公众号

    合规视频号

    订单服务

    编制/翻译/审核 价格及支付方式

    服务与支持

    服务流程 MSDS百科 危化品登记百科

    关于我们

    关于我们 合规发展 人才招聘

    Copyright © 2014-2023, 常州合规思远产品安全技术服务有限公司

    苏ICP备14039617号-1

    友情链接:密尔克卫  | 灵元素

    隐私免责条款