| 合规解读 |
联合国TDG法规第22修订版系列解读(一)
来源:合规化学 点击数:7171
2021年3月4日,联合国TDG和GHS专家委员会发布了第10次会议报告,提前公布了即将在今年7月出版的联合国TDG第22修订版的主要计划修订内容。
联合国TDG法规作为全球危险货物运输安全管理的最底层和最基础的技术法规,它的技术修订内容往往会陆续被其它具体运输方式法规例如IMDG code, ICAO-TI,IATA-DGR以及ADR等采纳,因此可以说,TDG法规的修订直接影响未来危险货物各种运输方式合规要求的更新。
那么第22修订版TDG法规有哪些技术变化呢?合规化学将在今后的几期解读中逐步为大家做一个归纳总结。在本期合规解读中先为大家系统梳理下第1~2章的主要技术变化。
一、第1章主要技术变化
1,修订了6个与气体运输及其包装的相关定义,具体如下:
① 气瓶捆包(Bundle of cylinders);
将原定义中的“cylinder”拓展为“cylinder or cylinder shells”。
② 低温贮器(Cryogenic receptacle)
将原定义“Cryogenic receptacle”修改为“Closed cryogenic receptacle”,明确该类容器属于封闭式的低温贮器。
③ 气瓶(Cylinder)和压力桶(Pressure drum)
删除了原来定义中的“transportable”,去掉了TDG法规中“气瓶”和“压力桶”仅限可移动包装的要求。
④ 压力贮器(Pressure receptacle)
对原定义进行了补充,进一步明确了压力贮器是指“用于盛装加压物质的可移动容器,包括其封盖和其他服务设备“。
⑤ 工作压力(Working pressure)
对原定义进行了补充,针对溶解乙炔(UN 1001)和无溶剂乙炔(UN 3374)的工作压力做了特殊规定。
对于UN1001的乙炔,其工作压力是指在统一的15℃下,对装有具体溶剂和最大含量乙炔的气瓶压力进行计算,所获得值。
对于UN3374的乙炔,也是采用类似UN1001的计算方式。
2,新增了“Inner vessel”等4个定义。其中需要重点关注的是“Inner vessel”和“Pressure receptacle shell”。
二、第2章主要技术变化
1,新增1种明确分类的自反应物质
表1新增的1种自反应物质
|
物质名称 |
浓度 |
包装方法 |
控制温度 |
应急温度 |
UN编号 |
备注 |
|
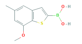
(7-METHOXY-5-METHYL-BENZOTHIOPHEN-2-YL) BORONIC ACID |
88-100 |
OP7 |
|
|
3230 |
11 |
该物质属于硼酸的衍生物,CAS号1443531-60-9,结构式如图1所示。

图1 新增的自反应物质结构式
根据备注11的规定,实际运输时,该物质可以含有水(≤12%)和有机杂质(≤1%)。
2,新增3种明确分类的有机过氧化物
表2新增的3种有机过氧化物
其中,本次新增的过氧化乙酰丙酮(ACETYL ACETONE PEROXIDE)新配方,根据备注32,要求产品的有效氧含量≤4.15%。
3,删除了III类低比活度(LSA-III)材料测试要求,同时对低弥散放射材料规定了详细的测试要求
本次修订删除了2.7.2.3.1.4和2.7.2.3.1.5有关LSA-III材料的测试要求,同时在第2.7.2.3.4.3节新增加有关低弥散放射材料的测试要求,具体如图2所示。

图2 新增的低弥散放射材料测试要求
4,对皮肤腐蚀的分类中,新增OECD 测试指南439
为了和GHS第8修订版保持一致,本次修订在对化学品皮肤腐蚀危害评估时,新增了OECD 测试指南439(重组人类表皮试验方法)。但是,该方法的测试结果无法直接判断货物是否属于第8类腐蚀品以及具体的包装类别,因此,本次修订只是明确,如果OECD 439测试结果为不分类(non-classified in accordance with OECD Test Guideline No. 439),则可判断该化学品不属于第8类腐蚀品。
本次更新后,第8类皮肤腐蚀的评估标准就有5个,具体归纳如表3所示。
表3皮肤腐蚀评估的方法列表

此外,本次修订还新增了一条对包装类别划分的规定:
当测试结果显示物质或混合物有腐蚀性,但由于测试方法的局限,无法准确判断包装类别,则应该把该货物的包装类别确定为PG I,前提是没有其他测试方法给出不同的结果。
5,对锂电池UN38.3测试摘要给出了豁免
根据TDG法规第2.9.49(g)条规定,2003年6月30日以后生产的锂电池,生产商和下游分销商应该提供电池UN38.3的摘要(具体要求如图3所示)

图3 UN38.3测试摘要的内容要求
本次修订对安装在设备中(包括电路板)的纽扣电池(如图4所示),给予了UN38.3测试摘要免于提供的豁免。
图4 安装在设备中纽扣电池示意图
6,完善了慢性水生危害的分类标准
本次修订在第2.9.3.4.3.4(a)节,增加了一个备注:当测试混合物的ECx或NOEC>0.1mg/L时,在TDG法规中,该混合物不具有长期水生危害。
合规解读:这条备注的增加,是对第2.9.3.4.3.4(a)的完善,更加方便大家的理解,因为根据TDG 法规中表2.9.1(b)(ii)规定的分类标准,当ECx或NOEC>0.1mg/L时,混合物是不满足ECx或NOEC慢性危害分类标准。
三、小结
本期合规解读小编给大家总结归纳了第22修订版TDG法规第1-2章的主要技术变化,其中第2章有关腐蚀性分类、新增自反应物质和有机过氧化物,以及锂电池UN38.3测试摘要的豁免值得大家关注。
下期合规解读,我们不见不散!
下一篇:危险货物合规要求系列解读(4)
电话咨询
微信扫码登录
账号密码登录