| 合规解读 |
化学品法规普及系列——重大危险源(1)
来源:合规化学网 点击数:12997
摘要:
我国化学品重大事故预防体系中,目前采取的是“两重点一重大”的监管体系。通过抓“重点危险化工工艺”来提升本质安全水平;通过抓“重点监管危险化学品”来控制危险化学品事故总量;通过抓“重大危险源”来遏制较大危险化学品事故。
在上一期合规解读中,我们为大家讲述了重点危险化工工艺相关技术内容。在本期解读中,则主要为大家解读监管体系中的“一重大”——重大危险源。
一、 定义
重大危险源( major hazard) 是在预防和控制危险化学品重大事故的相关研究中提出的概念。
总体而言,对于重大危险源的定义主要分为两类,一种按功能单元来确定,如欧共体颁布的《塞韦索法令》中重大危险源是指重大危险装置( major hazard installation) ;国际劳工组织的《预防重大工业事故公约》( 第174 号公约) 中也采用此概念;美国主要采用过程安全管理( process safety) 的概念;另一种则将重大危险源按整个企业区域来确定。
我国对重大危险源定义主要参考《塞韦索法令》,定义为:长期或临时生产、加工、使用或储存危险化学品,且危险化学品的数量等于或超过临界量的单元。
二、 管理依据
当企业有重大危险源时,除了之前讲过的需要进行危化品安监登记之外,还需要进行员工培训、危险源监察、应急计划等一系列工作。而重大危险源的管理依据主要有以下几个,具体如表1所示。
表1 重大危险源管理依据及其内容
同时,我国关于重大危险源的安全监督管理实行属地监管与分级管理相结合的原则。县级以上地方人民政府安全生产监督管理部门按照上表所述的有关法律、法规、标准等规定对本辖区内的重大危险源实施安全监督管理。
三、 辨识和评估
辨识和评估是重大危险源管理工作中的重中之重,这个环节的准确与否,直接影响后续的安全管理。因此,任何企业及机构需谨慎对待。其主要流程如图1所示。

图1 辨识和评估流程
1) 辨识
我国目前重大危险源辨识依据的是GB18218-2009(点击下载),根据危险化学品的危险特性及其数量与危险化学品临界量来对危险源进行辨识。
在GB18218-2009中给出两个重要表格用以辨识化学品所在单元是否为重大危险源。其中一个表格(如表2所示)列出了具体的78个化学品清单及其临界量,另一个表格(如表3所示)则列出了重大危险源所涵盖的所有危险类别及其对应的临界量。
表2危险化学品名称及其临界量(示例)
|
序号 |
类别 |
危险化学品名称和说明 |
临界量(T) |
|
1 |
爆炸品 |
叠氮化钡 |
0.5 |
|
2 |
叠氮化铅 |
0.5 |
|
|
8 |
硝酸铵(含可燃物>0.2%) |
10 |
|
表3 非列明危险化学品类别及其临界量(示例)
|
类别 |
危险性分类及说明 |
临界量 |
|
易燃固体 |
危险性属于4.1项且包装为Ⅰ类的物质 |
200 |
|
氧化性物质 |
危险性属于5.1项且包装为Ⅰ类的物质 |
50 |
|
危险性属于5.1项且包装为Ⅱ类或Ⅲ类的物质 |
200 |
|
值得注意的是,上述危险化学品的危险性分类和包装类别是依据GB12268《危险货物品名表》确定,而急性毒性分类是依据GB20592(已被GB30000.18替代)。因此,从化学品危险性分类而言,我国重大危险源辨识标准存在危险类别涵盖不全(例如,无腐蚀性、致癌性、生殖毒性等危害)以及技术内容滞后等问题。
当单元内存在多种危险化学品时,则需按式(1)计算后,再判断是否为重大危险源。
q1/Q1+q2/Q2+······+qn/QN≥1 (1)
式中:
q1,q2,……qn——每种危险化学品实际存在量,单位为吨(t);
Q1,Q2……QN——与各危险化学品对应的临界量,单位为吨(t)。
同时,重大危险源在辨识过程中,还需遵从以下4个原则:
2) 分级
在我国,根据风险程度的不同将重大危险源分为4个等级,而级别的高低取决于R值的大小。
表4 危险化学品重大危险源级别和R值对应关系
|
危险化学品重大危险源级别 |
R值 |
|
一级 |
R≥100 |
|
二级 |
100>R≥50 |
|
三级 |
50>R≥10 |
|
四级 |
R<10 |
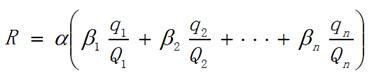
表中R值指的是单元内各种危险化学品实际存在(在线)量与其在GB18218中规定的临界量比值,具体计算见式(2)。
(2)
式(2)中:
q与Q的含义见公式(1);
α——厂外暴露人员校正系数,取决于重大危险源厂区边界向外扩展500米范围内常住人口数量。α取值大小与人数成正比,具体如表5所示。
表5 校正系数α取值表
|
厂外可能暴露人员数量 |
α值 |
|
100人以上 |
2.0 |
|
50人~99人 |
1.5 |
|
30人~49人 |
1.2 |
|
1~29人 |
1.0 |
|
0人 |
0.5 |
β——根据单元内危险化学品的类别而设定,化学品危险性越高所设定的β值则越大,具体如表6所示。
表6 校正系数β取值表
|
危险化学品类别 |
毒性气体 |
爆炸品 |
易燃气体 |
其他类危险化学品 |
|
β值 |
见表7 |
2 |
1.5 |
1 |
表7 常见毒性气体校正系数β取值表
|
毒性气体名称 |
一氧化碳 |
二氧化硫 |
氨 |
环氧乙烷 |
氯化氢 |
溴甲烷 |
氯 |
|
β值 |
2 |
2 |
2 |
2 |
3 |
3 |
4 |
|
毒性气体名称 |
硫化氢 |
氟化氢 |
氰化氢 |
二氧化氮 |
碳酰氯 |
磷化氢 |
异氰酸甲酯 |
|
β值 |
5 |
5 |
10 |
10 |
20 |
20 |
20 |
|
注:未在表7中列出的有毒气体可按β=2取值,剧毒气体可按β=4取值。 |
|||||||
3) 安全评估
《安全生产法》第三十八条指出:危化品生产经营单位对重大危险源需进行定期评估。因此从法律层面讲,安全评估是危化品企业的法定义务之一。实际情况下,企业可自行评估,也可委托安全评价机构进行。
然而,对于毒性气体、爆炸品、液化易燃气体的一级或二级重大危险源,必须委托安全评价机构进行,且要采用定量风险评价(QRA)的方法。
安全评估的内容主要包括以下几点,如表8所示。
表8 安全评估的主要内容

4) 需要重新辨识、分级、评估的情况
在上文中,我们分别为大家讲解了辨识、分级和评估这三个重要环节。然而当出现以下几种情况下,则需重新进行上述行为。如下图所示。

四、 小结
在本期解读中,合规化学网为大家细述了重大危险源的管理依据并着重讲解了重大危险源辨识及评估的相关技术内容。就目前而言,我国的重大危险源辨识标准还存在很多待改善部分,包括新增对腐蚀性物质、致癌性物质、生殖毒性物质等重大危险源辨识标准(或设定临界值);对于锅炉、压力容器以及压力管道等特殊重大危险源的辨识标准的制定;辨识及评估标准的及时更新等系列问题。
在下一期解读中,我们将就“重大危险源”这一话题继续展开讨论。侧重讲解重大危险源的安全管理办法并就管理现状进行分析,同时给出合理对策。敬请关注。
如您有相关技术咨询需求,欢迎联系合规化学网。
本网站维权及免责声明:
凡本网站所有原始/编译文章及图片、图表的版权均属合规思远所有,如要转载,需注明“信息来源:合规化学网”。违反上述规定者,本网站将保留追究其侵权责任的权利。
凡本网站注明“信息来源:XXX(非合规化学网)”的作品,均转载自其他媒体,转载目的在于传递更多的信息,并不代表本网赞同其观点和对其真实性负责。
电话咨询
微信扫码登录
账号密码登录